13+ Laporan Informasi Polri Bidang Keamanan

» » 13+ Laporan Informasi Polri Bidang Keamanan

Laporan Informasi Polri Bidang Keamanan - Jajaran kepolisian harus cermat menggunakan diskresi miliknya untuk menyelesaikan langsung di lapangan. 2 Dalam tugas dan peran Humas Polri harus dapat memberi dan menetralisir informasi yang dapat mempengaruhi kehidupan berbangsa dan bernegara baik yang berskala internasional regional maupun nasional khususnya yang menyangkut bidang keamanan dan budaya patuh hukum. Komunikasi dan informasi tidak hanya berpengaruh bagi bidang pertahanan tetapi juga berpengaruh bagi bidang-bidang lainya seperti pendidikan kesehatan keamanan kesejahteraan dan masih banyak lagi.

Laporan informasi polri bidang keamanan. Menteri Koordinator Bidang Politik Hukum dan Keamanan Menko Polhukam Mahfud MD mengaku sudah mengirim laporan hasil investigasi Komnas HAM soal penembakan anggota Laskar Pembela Islam. Kepala Polri yang selanjutnya disebut Kapolri adalah pimpinan Polri dan penanggungjawab penyelenggara fungsi kepolisian. Birokrasi Polri dengan indikator meningkatnya kepuasan masyarakat terhadap pelayanan Polri mempertahankan penilaian Laporan Keuangan oleh BPK dengan predikat WTP meningkatnya nilai. Informasi Keamanan Warga Karanganyar.

Doc Contoh Format Li Regar Tamimi Academia Edu Doc Contoh Format Li Regar Tamimi Academia Edu From academia.edu

Cover makalah bahasa inggris yang benar Contoh skripsi tinjauan pustaka Dampak penerapan bioteknologi di bidang lingkungan Contoh surat pengantar laporan bulanan ppat

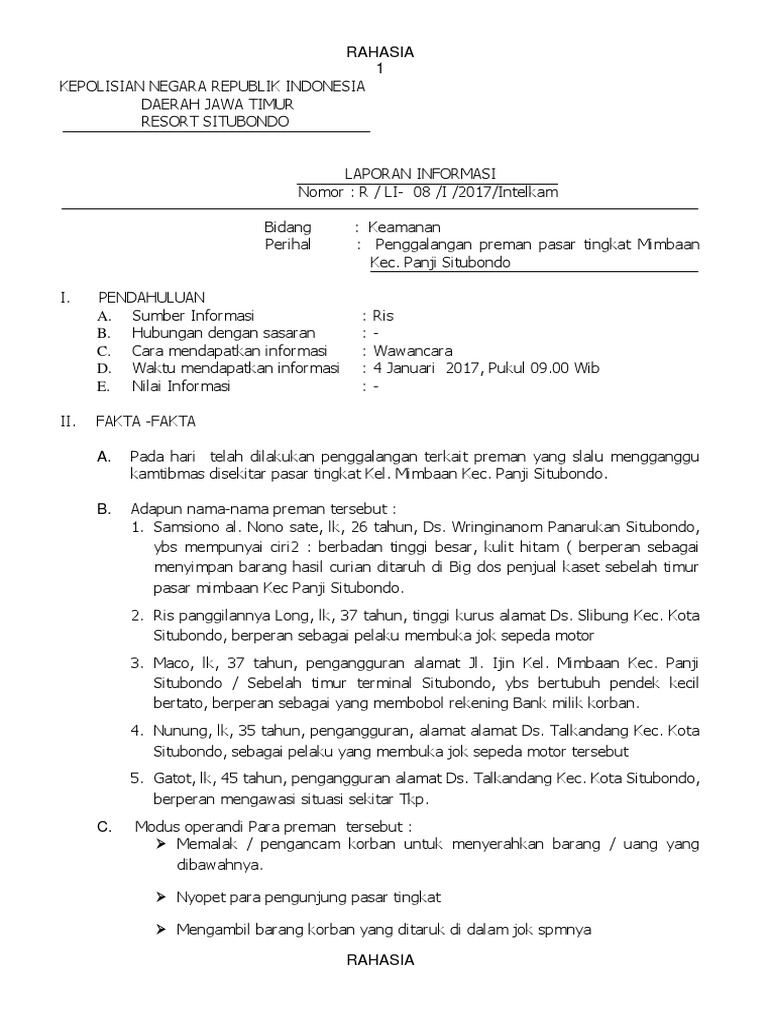
Dari perspektif Pertahanan Keamanan terdapat 5 lima inti bidang keilmuan dan teknologi Informasi dan Komunikasi yaitu. H Bareskrim Polri mulai menindaklanjuti laporan dari PTPN VIII terkait penggunaan lahan tanpa izin Pondok Pesantren Alam Agrokultural Markaz Syariah Kecamatan Megamendung Kabupaten Bogor Jawa Barat. Memelihara keamanan dan ketertiban masyarakat menegakkan hukum serta memberikan perlindungan pengayoman dan pelayanan kepada masyarakat dalam rangka terpeliharanya keamanan dalam negeri. Persepsi Masyarakat terhadap peningkatan pelayanan SIM SKCK dan SPKT 10. Laporan Informasi adalah informasi tentang suatu peristiwa dari masyarakat atau yang diketahui sendiri oleh Anggota Polri untuk dilakukan penyelidikan guna mengetahui apakah peristiwa tersebut merupakan peristiwa pidana atau bukan. 38 Sibolga -22521 LAPORAN - INFORMASI Nomor.

Telah hadir website resmi Polri Berbahasa Inggris Agar kepolisian Republik Indonesia semakin mendunia Inp websitepolri indonesiannationalpolice police.

Kepala Polri yang selanjutnya disebut Kapolri adalah pimpinan Polri dan penanggungjawab penyelenggara fungsi kepolisian. Meningkatkan peran fungsi kepolisian di bidang preemtif preventif dan represif untuk mewujudkan kamtibmas a. Komunikasi dan informasi tidak hanya berpengaruh bagi bidang pertahanan tetapi juga berpengaruh bagi bidang-bidang lainya seperti pendidikan kesehatan keamanan kesejahteraan dan masih banyak lagi. Menteri Wiranto menyampaikan hal itu didampingi Menteri Hukum dan HAM Yasonna Laoly Menteri Komunikasi dan Informatika Rudiantara Panglima TNI Marsekal Hadi Tjahjanto Kepala BNPT Komjen Pol Suhardi Alius Dirtipidum Mabes Polri Brigjen Pol Nico Afinta dan Jaksa. R LI IX 2016 Bidang. Menteri Koordinator Bidang Politik Hukum dan Keamanan Menko Polhukam Mahfud MD mengaku sudah mengirim laporan hasil investigasi Komnas HAM soal penembakan anggota Laskar Pembela Islam.

Contoh Laporan Informasi Polri Bidang Ekonomi Source: duniasosial.id

Informasi Keamanan Warga Karanganyar. Laporan kinerja ini diharapkan juga menjadi bahan evaluasi peningkatan kinerja di lingkungan internal BSSN. Informasi Keamanan Warga Karanganyar. 12K views December 22 2020. Menteri Koordinator Bidang Politik Hukum dan Keamanan Wiranto menyampaikan sejumlah masalah terkait kondisi keamanan nasional.

Format Laporan Informasi Polri Ilmusosial Id Source: ilmusosial.id

REPUBLIKACOID JAKARTA – Wakil Ketua Fraksi Partai Nasdem DPR Willy Aditya mendorong agar Polri lebih selektif dalam menindaklanjuti laporan kasus Informasi dan Transaksi Elektronik ITE. Pasalnya tidak semua laporan kasus ITE harus dilanjutkan ke proses pengadilan. Adanya sekelompok anak remaja yang mengganggu masyarakat I. January 6 at 1245 AM. Komunikasi dan informasi tidak hanya berpengaruh bagi bidang pertahanan tetapi juga berpengaruh bagi bidang-bidang lainya seperti pendidikan kesehatan keamanan kesejahteraan dan masih banyak lagi.

Laporan Informasi Satuan Tugas Bantuan 7sbm Sattis 1 Timika Juni 2009 Source: slideshare.net

Meningkatkan peran fungsi kepolisian di bidang preemtif preventif dan represif untuk mewujudkan kamtibmas a. Keamanan dan ketertiban masyarakat menegakkan hukum serta memberikan perlindungan pengayoman dan pelayanan kepada masyarakat dengan lingkup tugas sebagai berikut. 2 Dalam tugas dan peran Humas Polri harus dapat memberi dan menetralisir informasi yang dapat mempengaruhi kehidupan berbangsa dan bernegara baik yang berskala internasional regional maupun nasional khususnya yang menyangkut bidang keamanan dan budaya patuh hukum. Laporan Kinerja Tahun 2019 BSSN tersebut disusun sebagai upaya BSSN dalam menjaga akuntabilitas kinerja dan media komunikasi bagi masyarakat yang ingin mendapatkan informasi terkait kinerja BSSN. Bidang Persandian dan Keamanan Persandian mempunyai tugas penyiapan bahan dan penyusunan bahanmateri kebijakan rencanaprogram dan melaksanakan penyusunan kebijakan koordinasi pengendalian pembinaan fasilitasi monitoring dan evaluasi pengawasan pelaporan penyelenggaraan urusan pemerintahan di bidang Tata.

Laporan Informasi Satuan Tugas Bantuan 7sbm Sattis 1 Timika Juni 2009 Source: slideshare.net

Menteri Wiranto menyampaikan hal itu didampingi Menteri Hukum dan HAM Yasonna Laoly Menteri Komunikasi dan Informatika Rudiantara Panglima TNI Marsekal Hadi Tjahjanto Kepala BNPT Komjen Pol Suhardi Alius Dirtipidum Mabes Polri Brigjen Pol Nico Afinta dan Jaksa. Telah hadir website resmi Polri Berbahasa Inggris Agar kepolisian Republik Indonesia semakin mendunia Inp websitepolri indonesiannationalpolice police. PTPN VIII melaporkan sudah ke Barekrim tentunya Bareskrim akan menindaklanjuti laporan tersebut. Poin pentingnya adalah pemberian informasi yang rinci tepat akurat. H Bareskrim Polri mulai menindaklanjuti laporan dari PTPN VIII terkait penggunaan lahan tanpa izin Pondok Pesantren Alam Agrokultural Markaz Syariah Kecamatan Megamendung Kabupaten Bogor Jawa Barat.

Laporan Bulanan Jan 2012 Dit Binmas Polda Jabar Source: slideshare.net

WEBSITE RESMI KEPOLISIAN NEGARA REPUBLIK INDONESIA. 12K views December 22 2020. 1 DAERAH SUMATERA UTARA D A R I 1 COPIES RESOR SIBOLGA Jln. Digit untuk memudahkan dalam proses aplikasi komputerisasi sistem informasi operasional polri. Pasalnya tidak semua laporan kasus ITE harus dilanjutkan ke proses pengadilan.

Laporan Informasi Kegiatan Tanpa Izin Source: id.scribd.com

Menteri Koordinator Bidang Politik Hukum dan Keamanan Wiranto menyampaikan sejumlah masalah terkait kondisi keamanan nasional. 1 Melaksanakan fungsi Kepolisian umum baik di bidang preemtif maupun di bidang refresif. Kepala Polri yang selanjutnya disebut Kapolri adalah pimpinan Polri dan penanggungjawab penyelenggara fungsi kepolisian. BIDANG PERENCANAAN UMUM DAN ANGGARAN Paraf. Bareskrim Polri Proses Laporan PTPN VIII Terkait Lahan Markaz Syaria.

1 Source: id.scribd.com

Menteri Wiranto menyampaikan hal itu didampingi Menteri Hukum dan HAM Yasonna Laoly Menteri Komunikasi dan Informatika Rudiantara Panglima TNI Marsekal Hadi Tjahjanto Kepala BNPT Komjen Pol Suhardi Alius Dirtipidum Mabes Polri Brigjen Pol Nico Afinta dan Jaksa. 12K views December 22 2020. Informasi Keamanan Warga Karanganyar. Pasalnya tidak semua laporan kasus ITE harus dilanjutkan ke proses pengadilan. BIDANG PERENCANAAN UMUM DAN ANGGARAN Paraf.

Laporan Khusus Intel Source: id.scribd.com

Memelihara keamanan dan ketertiban masyarakat menegakkan hukum serta memberikan perlindungan pengayoman dan pelayanan kepada masyarakat dalam rangka terpeliharanya keamanan dalam negeri. Contoh Format Laporan Informasi - Lampiran Perkap 8 th 2013 FORMAT LAPORAN. BIDANG PERENCANAAN UMUM DAN ANGGARAN Paraf. Jajaran kepolisian harus cermat menggunakan diskresi miliknya untuk menyelesaikan langsung di lapangan. Untuk kedepannya diharapkan dengan adanya kemajuan teknologi di Indonesia juga dapat berdampak baik bagi kemajuan sumber daya manusia di indonesia.

Contoh Laporan Informasi Tentang Kamtibmas Dunia Sosial Source: duniasosial.id

CONTOH FORMAT LAPORAN INTELIJEN 1. REPUBLIKACOID JAKARTA – Wakil Ketua Fraksi Partai Nasdem DPR Willy Aditya mendorong agar Polri lebih selektif dalam menindaklanjuti laporan kasus Informasi dan Transaksi Elektronik ITE. 1 DAERAH SUMATERA UTARA D A R I 1 COPIES RESOR SIBOLGA Jln. Bidang Persandian dan Keamanan Persandian mempunyai tugas penyiapan bahan dan penyusunan bahanmateri kebijakan rencanaprogram dan melaksanakan penyusunan kebijakan koordinasi pengendalian pembinaan fasilitasi monitoring dan evaluasi pengawasan pelaporan penyelenggaraan urusan pemerintahan di bidang Tata. 12K views December 22 2020.

Li Briptu Feri Source: id.scribd.com

Birokrasi Polri dengan indikator meningkatnya kepuasan masyarakat terhadap pelayanan Polri mempertahankan penilaian Laporan Keuangan oleh BPK dengan predikat WTP meningkatnya nilai. BIDANG PERENCANAAN UMUM DAN ANGGARAN Paraf. Menteri Wiranto menyampaikan hal itu didampingi Menteri Hukum dan HAM Yasonna Laoly Menteri Komunikasi dan Informatika Rudiantara Panglima TNI Marsekal Hadi Tjahjanto Kepala BNPT Komjen Pol Suhardi Alius Dirtipidum Mabes Polri Brigjen Pol Nico Afinta dan Jaksa. RAHASIA KEPOLISIAN NEGARA REPUBLIK INDONESIA COPY KE. Menteri Koordinator Bidang Politik Hukum dan Keamanan Wiranto menyampaikan sejumlah masalah terkait kondisi keamanan nasional.

Doc Contoh Format Li Regar Tamimi Academia Edu Source: academia.edu

Contoh Format Laporan Informasi - Lampiran Perkap 8 th 2013 FORMAT LAPORAN. H Bareskrim Polri mulai menindaklanjuti laporan dari PTPN VIII terkait penggunaan lahan tanpa izin Pondok Pesantren Alam Agrokultural Markaz Syariah Kecamatan Megamendung Kabupaten Bogor Jawa Barat. Informasi Keamanan Warga Karanganyar. Menteri Wiranto menyampaikan hal itu didampingi Menteri Hukum dan HAM Yasonna Laoly Menteri Komunikasi dan Informatika Rudiantara Panglima TNI Marsekal Hadi Tjahjanto Kepala BNPT Komjen Pol Suhardi Alius Dirtipidum Mabes Polri Brigjen Pol Nico Afinta dan Jaksa. Laporan Kinerja Tahun 2019 BSSN tersebut disusun sebagai upaya BSSN dalam menjaga akuntabilitas kinerja dan media komunikasi bagi masyarakat yang ingin mendapatkan informasi terkait kinerja BSSN.

Contoh Laporan Informasi Polri Bidang Keamanan Kumpulan Contoh Laporan Source: cantohlaporanmu.blogspot.com

Bidang Poleksosbudkam Politik Ekonomi Sosial Budaya Keamanan Perihal. Pasalnya tidak semua laporan kasus ITE harus dilanjutkan ke proses pengadilan. Kepala Polri yang selanjutnya disebut Kapolri adalah pimpinan Polri dan penanggungjawab penyelenggara fungsi kepolisian. Menteri Koordinator Bidang Politik Hukum dan Keamanan Menko Polhukam Mahfud MD sebelumnya mengaku telah mengirim hasil laporan investigasi tersebut ke Polri sejak 22 Januari lalu. 12K views December 22 2020.

Contoh Laporan Informasi Polri Bidang Keamanan Kumpulan Contoh Laporan Source: cantohlaporanmu.blogspot.com

PTPN VIII melaporkan sudah ke Barekrim tentunya Bareskrim akan menindaklanjuti laporan tersebut. Bidang Poleksosbudkam Politik Ekonomi Sosial Budaya Keamanan Perihal. Untuk kedepannya diharapkan dengan adanya kemajuan teknologi di Indonesia juga dapat berdampak baik bagi kemajuan sumber daya manusia di indonesia. Jajaran kepolisian harus cermat menggunakan diskresi miliknya untuk menyelesaikan langsung di lapangan. 1 DAERAH SUMATERA UTARA D A R I 1 COPIES RESOR SIBOLGA Jln.

Contoh Laporan Informasi Polri Bidang Keamanan Kumpulan Contoh Laporan Source: cantohlaporanmu.blogspot.com

Contoh Format Laporan Informasi - Lampiran Perkap 8 th 2013 FORMAT LAPORAN. Laporan Kinerja Tahun 2019 BSSN tersebut disusun sebagai upaya BSSN dalam menjaga akuntabilitas kinerja dan media komunikasi bagi masyarakat yang ingin mendapatkan informasi terkait kinerja BSSN. Enam sinar api berwarna kuning. Dari perspektif Pertahanan Keamanan terdapat 5 lima inti bidang keilmuan dan teknologi Informasi dan Komunikasi yaitu. Untuk kedepannya diharapkan dengan adanya kemajuan teknologi di Indonesia juga dapat berdampak baik bagi kemajuan sumber daya manusia di indonesia.

Laporan Informasi Satuan Tugas Bantuan 7sbm Sattis 1 Timika Juni 2009 Source: slideshare.net

Menghasilkan inspirasi teknologi yang dapat dipergunakan untuk penyempurnaan konsep Pertahanan dan Keamanan Negara Republik Indonesia. Infrastruktur komunikasi dan Keamanan Informasi. Persepsi Masyarakat terhadap peningkatan pelayanan SIM SKCK dan SPKT 10. Enam sinar api berwarna kuning. Bidang Poleksosbudkam Politik Ekonomi Sosial Budaya Keamanan Perihal.

Contoh Laporan Informasi Polri Bidang Keamanan Kumpulan Contoh Laporan Cute766 Source: cute766.info

January 6 at 1245 AM. Meningkatkan peran fungsi kepolisian di bidang preemtif preventif dan represif untuk mewujudkan kamtibmas a. Kepala Polri yang selanjutnya disebut Kapolri adalah pimpinan Polri dan penanggungjawab penyelenggara fungsi kepolisian. Menteri Koordinator Bidang Politik Hukum dan Keamanan Menko Polhukam Mahfud MD mengaku sudah mengirim laporan hasil investigasi Komnas HAM soal penembakan anggota Laskar Pembela Islam. PTPN VIII melaporkan sudah ke Barekrim tentunya Bareskrim akan menindaklanjuti laporan tersebut.

Laporan Informasi Kegiatan Tanpa Izin Source: id.scribd.com

2 Dalam tugas dan peran Humas Polri harus dapat memberi dan menetralisir informasi yang dapat mempengaruhi kehidupan berbangsa dan bernegara baik yang berskala internasional regional maupun nasional khususnya yang menyangkut bidang keamanan dan budaya patuh hukum. Birokrasi Polri dengan indikator meningkatnya kepuasan masyarakat terhadap pelayanan Polri mempertahankan penilaian Laporan Keuangan oleh BPK dengan predikat WTP meningkatnya nilai. 2 Dalam tugas dan peran Humas Polri harus dapat memberi dan menetralisir informasi yang dapat mempengaruhi kehidupan berbangsa dan bernegara baik yang berskala internasional regional maupun nasional khususnya yang menyangkut bidang keamanan dan budaya patuh hukum. Memelihara keamanan dan ketertiban masyarakat serta menegakkan hukum. CONTOH FORMAT LAPORAN INTELIJEN 1.

B Contoh Format Laporan Intelijen 1 Contoh Format Laporan Informasi Lampiran Perkap 8 Th 2013 Format Laporan Source: 123dok.com

Pasalnya tidak semua laporan kasus ITE harus dilanjutkan ke proses pengadilan. RAHASIA KEPOLISIAN NEGARA REPUBLIK INDONESIA COPY KE. Bidang Persandian dan Keamanan Persandian mempunyai tugas penyiapan bahan dan penyusunan bahanmateri kebijakan rencanaprogram dan melaksanakan penyusunan kebijakan koordinasi pengendalian pembinaan fasilitasi monitoring dan evaluasi pengawasan pelaporan penyelenggaraan urusan pemerintahan di bidang Tata. Contoh Format Laporan Informasi - Lampiran Perkap 8 th 2013 FORMAT LAPORAN. Pasalnya tidak semua laporan kasus ITE harus dilanjutkan ke proses pengadilan.

This site is an open community for users to submit their favorite wallpapers on the internet, all images or pictures in this website are for personal wallpaper use only, it is stricly prohibited to use this wallpaper for commercial purposes, if you are the author and find this image is shared without your permission, please kindly raise a DMCA report to Us.

If you find this site convienient, please support us by sharing this posts to your preference social media accounts like Facebook, Instagram and so on or you can also bookmark this blog page with the title laporan informasi polri bidang keamanan by using Ctrl + D for devices a laptop with a Windows operating system or Command + D for laptops with an Apple operating system. If you use a smartphone, you can also use the drawer menu of the browser you are using. Whether it’s a Windows, Mac, iOS or Android operating system, you will still be able to bookmark this website.